MAT 131 exam 2 solutions
Fall 1998
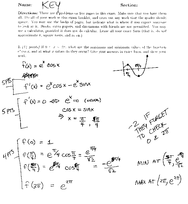
first page
second page
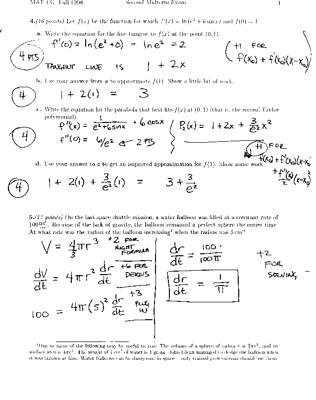
third page
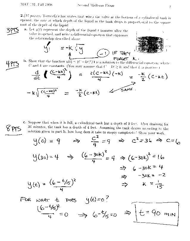
fourth page
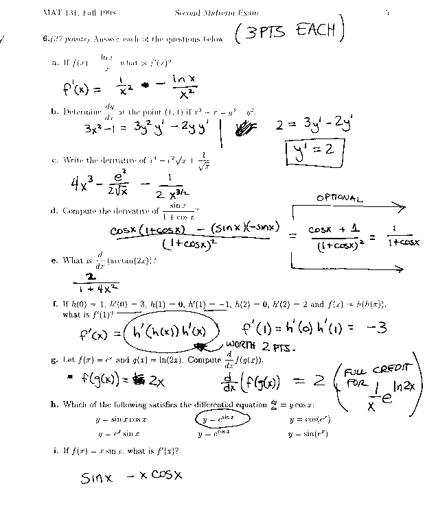
fifth page